Algoritma Syok Anafilaktik
If profound shock judged immediately life threatening give CPRALS if necessary. ALGORITMA TATALAKSANA SYOK ANAFILAKTIK1.
Panduan Praktik Klinis Reaksi Anafilaksis Persiapan Wajib Di Tempat Praktek Dokter
Me mahami patofisiologi syok anafilaksis.
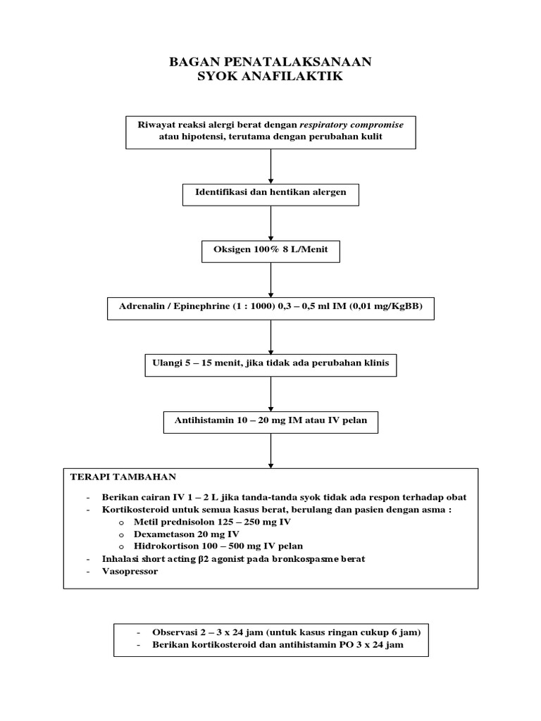
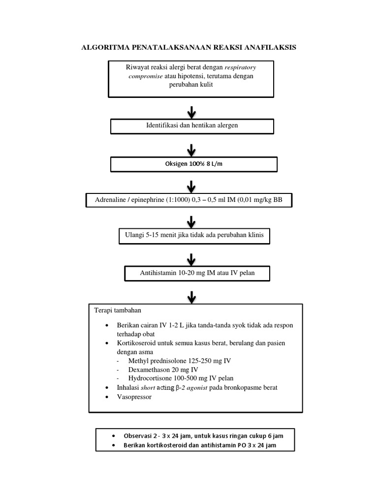
Algoritma syok anafilaktik. Pencegahan Pencegahan merupakan langkah terpenting dalam penetalaksanaan syok anafilaktik terutama yang disebabkan oleh obat-obatan. Difenhidramin diberikan untuk mengatasi gejala tambahan seperti pruritus eritem dan urtikaria dengan dosis 125 mgkg maksimal 50 mg IM. BAB I PENDAHULUAN A.
Melakukan anamnesis riwayat alergi penderita dengan cermat akan sangat membantu menentukan etiologi dan faktor risiko anafilaksis. Tabrani Rab Agenda Gawat Darurat Critical Care Hal1033. Tujuan khusus Setelah mengikuti modul ini peserta didik akan memiliki kemampuan untuk.
Infeksi pneumonia peritonitis prosedur invasif Neurogenik. Insiden syok anafilaktik 40-60 persen adalah akibat gigitan serangga 20-40 persen akibat zat kontras radiografi dan 10-20 persen akibat pemberian obat penisilin. Penanganan Utama dan segera.
Diberikan hanya setelah diberikan epinefrin-Identifikasi dan hentikan kontak dengan alergen -Beri O2 8 Lmenit. Syok Distributif Akibat dari dilatasi pembuluh darah besar- besaran penurunan systemic vascular resistance SVR penurunan preload Etiologi. Individu yang mempunyai riwayat.
Blog tentang informasi kedokteran dan kesehatan meliputi info klinis gejala dan pengobatan penyakit BPJS Kesehatan Kode ICD 10 dan diskusi kesehatan dengan dokter. Definisi Syok anafilaktik adalah syok yang terjadi secara akut yang disebabkan oleh reasi alergi. An inhaled beta2-agonist such as salbutamol may be used as an adjunctive measure if bronchospasm is severe and does not respond rapidly to other treatment.
1000 1 mgml. Syok anafilaktik merupakan kasus kegawatan tetapi terlalu sempit untuk menggambarkan anafilaksis secara keseluruhan karena anafilaksis yang berat dapat terjadi tanpa adanya hipotensi seperti pada anafilaksis dengan gejala utama obstruksi saluran napas. Shock is a multisystem disorder that involves inadequate tissue perfusion and altered metabolism.
Syok anafilaksis melalui pembelajaran pengalaman klinis dalam kegiatan berupa penilaian pre-assessment diskusi penatalaksanaan pasien diskusi kasus dan berbagai penelusuran sumber pengetahuan. Reaksi alergi anafilaksis ataupun syok anafilaktik dapat muncul dalam beberapa menit atau jam setelah seseorang terpapar atau kontak dengan zat atau bahan penyebab alergi alergen misalnya makan seafood kacang-kacangan sengatan serangga obat-obatan dan lain-lain. Latar Belakang Perkembangan yang pesat dalam penemuan penelitian dan produksi obat untuk diagnosis pengobatan dan pencegahan telah menimbulkan reaksi obat yang tidak dikehendaki yang disebut sebagai efek samping.
Penanganan Pertama Umum Hal pertama yang harus dilakukan adalah menghentikan. Algoritma Penatalaksanaan Reaksi Anafilaksis. ALGORITMA PENANGANAN SYOK ANAFILAKTIK BARINGKAN PASIEN DENGAN POSISI KAKI LEBIH TINGGI INJEKSIKAN EPINEFRIN IM DOSIS 001 mgkbBB sediaan ampul 1 mgmL.
Penatalaksanaan syok anafilaktik menurut Haupt MT and Carlson RW 1989 hal 993-1002 a dalah Kalau terjadi komplikasi syok anafilaktik setelah kemasukan obat atau zat kimia baik peroral maupun parenteral maka tindakan yang perlu dilakukan adalah. Penatalaksanaan anafilaksis meliputi penanganan pertama penanganan farmakologis lanjutan dan rujukan ke fasilitas kesehatan sekunder apabila diperlukan. Cedera medula spinalis anastesi spinal depresi pusat vasomotor Reaksi anafilaktik.
Saat pasien kontak dengan bahan tersebut histamin serotonin tryptase dan bahan. Syok anafilaktik merupakan kasus kegawatan tetapi terlalu sempit untuk menggambarkan anafilaksis secara keseluruhan karena anafilaksis yang berat dapat terjadi tanpa adanya hipotensi seperti pada anafilaksis dengan gejala utama obstruksi saluran napas256 22. Syok anafilaktik berupa udem larings bronkospasme dan hipotensi memerlukan terapi sesegera mungkin.
Algoritma Penatalaksanaan Syok Anafilaktik d49omv756249. Makanan tertentu seperti telur ikan protein susu sapi kacang-kacangan dan biji-bijian juga dapat menjadi. Algoritma Manajemen Pasien Anafilaksis IX.
Hentikan pemberian obat antigen penyebab. Si A alergi dengan zat A. Penisilin merupakan penyebab kematian 100 dari 500 kematian akibat reaksi anafilaksis.
Individu yang atopik mudah terkena syok anafilaksis. Algoritma penatalaksanaan syok anafilaktik 051 mgkg diphenhydramine 1. Gejala dan Tanda Syok Anafilaktik.
Algoritma Penatalaksanaan Reaksi Anafilaksis Riwayat reaksi alergi berat. Maksimal pada dewasa 05 mg maksimal pada anak 03 mg. Algoritma Penatalaksanaan Syok Anafilaktik.
Berikan Adrenalin 1. PENATALAKSANAAN SYOK ANAFILAKSIS Syamsul HSalam. Sengatan serangga adalah salah satu risiko terutama sengatan tawon dan lebah.
Reaksi anafilaktik atau anafilaksis adalah respon imunologi yang berlebihan terhadap suatu bahan dimana seorang individu pernah tersensitasi oleh bahan tersebut. Reaksi alergi hanya akan muncul ketika orang yang sensitif bertemu dengan alergen spesifik eg. Baringkan penderita dengan posisi tungkai lebih tinggi dari kepala.
Algoritma Penatalaksanaan Reaksi Syok Anafilaksis atau Anafilaktik.

Peran Perawat Dalam Penanganan Syok Anafilatik Gustinerz Com

Management Shock Anafilaktik Anaphylaxis Circulation Problems Anaphylactic Shock
Algoritma Penatalaksanaan Syok Anafilaktik Docx
Algoritma Penatalaksanaan Reaksi Anafilaksis 1
Algoritma Penanganan Syok Anafilaktik
Penatalaksanaan Syok Anafilaktik Cute766
Bagan Penatalaksanaan Syok Anafilaktik
![]()
Doc Algoritma Syok Anafilaktik Elita Purnama Sari Academia Edu
Posting Komentar untuk "Algoritma Syok Anafilaktik"